Java Chapter 18 - Graphs
18.1 Graphs
A graph is a data structure that can
be used for finding paths shortest paths in real world problems. A graph
consists of vertices (nodes) and edges (lines).
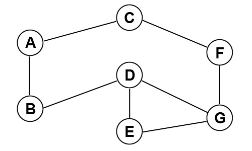
1. Undirected Graph - The graph below has vertices 7
vertices (A - G) and 8 edges connecting them. There are 3 different paths
to travel from A to G.

2. Directed Graph - This graph has directed edges that allow
you to only travel between vertices in the direction of the arrow. There
is only 1 path to travel from A to G - (A:B), (B:E), (E:G)
3. Weighted Graph - This graph has a weight for each edge.
This could be used for calculating distances between objects. Using the
weights, we see the shortest path from A to G is 13 - (A:B), (B:D), (D:G)

18.2 Dijkstra's
Shortest Path
In graph theory, the shortest path problem is finding the best path between two vertices after considering the weights of the edges. There are many algorithms that work with different types of graphs. Below is an implementation of Dijkstra's algorithm using a graph of castle room objects as first discussed in chapter 15. The vertices (rooms) are stored in an array called Vertex.
class Room
{
String RoomName;
Room North, South, East, West;
boolean Visited; // used for Dijkstra
int Distance; // used for Dijkstra
Room (String theRoomName)
{ RoomName = theRoomName; }
}
// Dijkstra's Shortest Path
static int ShortestPath(Room Start, Room Finish)
{
for (int i=0; i<Vertex.size(); i++)
{
if (Vertex.get(i) == Start)
Vertex.get(i).Distance = 0;
else
Vertex.get(i).Distance = 1000; // set distance to "infinity"
Vertex.get(i).Visited = false;
}
Room Temp = Start;
while (!Finish.Visited)
{
Temp.Visited = true;
if (Temp.North!=null && !Temp.North.Visited && Temp.North.Distance > Temp.Distance+1)
Temp.North.Distance = 1 + Temp.Distance;
if (Temp.South!=null && !Temp.South.Visited && Temp.South.Distance > Temp.Distance+1)
Temp.South.Distance = 1 + Temp.Distance;
if (Temp.East!=null && !Temp.East.Visited && Temp.East.Distance > Temp.Distance+1)
Temp.East.Distance = 1 + Temp.Distance;
if (Temp.West!=null && !Temp.West.Visited && Temp.West.Distance > Temp.Distance+1)
Temp.West.Distance = 1 + Temp.Distance;
int Smallest = 1000;
int SmallestIndex = -1;
for (int i=0; i<Vertex.size(); i++)
{
if (!Vertex.get(i).Visited && Vertex.get(i).Distance < Smallest)
{
Smallest = Vertex.get(i).Distance;
SmallestIndex = i;
}
}
Temp = Vertex.get(SmallestIndex);
}
return Finish.Distance;
}
18.3 JGraphT Library
JGraphT is a free Java Graph
library. It will need to be downloaded and added to your compiler's class
path:
- TextPad: Go to Configure, Preferences, Environment Variables. Add
a path to your jar to the CLASSPATH:
C:\java\jgrapht-0.9.0\lib\jgrapht-core-0.9.0.jar;%CLASSPATH%
- Eclipse: Go to the properties of your project, select Java Build Path,
Libraries tab, and Add JAR.
Below are some of the methods in the graph library.
| Creating a Graph | Description |
| DirectedGraph<String, DefaultEdge> g
= new DefaultDirectedGraph<String, DefaultEdge> (DefaultEdge.class); |
Create a directed graph of Strings named g |
| SimpleWeightedGraph<String,
DefaultWeightedEdge> g = new SimpleWeightedGraph<String, DefaultWeightedEdge> (DefaultWeightedEdge.class); |
Create a weighted graph of Strings named g |
| Methods | Description |
| g.addVertex("Dallas"); | Adds a vertex named Dallas |
| g.containsVertex("Dallas"); | Returns true if Dallas exists |
| g.addEdge("Dallas","Austin"); | Adds an edge to the graph |
| g.setEdgeWeight(g.getEdge("Dallas","Austin"),200); | Set edge weight between Dallas and Austin to 200 |
| g.edgesOf("Dallas") | Returns a set of edges touching Dallas |
| g.vertexSet() | Returns a list of all vertices |
| g.vertexSet().size() | Returns the number of vertices |
| g.edgeSet() | Returns a list of all edges |
| g.edgeSet().size() | Returns the number edges |
| g.getEdgeWeight(g.getEdge("Dallas","Austin")) | Returns the edge weight from Dallas to Austin |
| g.removeVertex("Dallas") | Removes vertex Dallas |
| g.removeEdge(g.getEdge("Dallas","Austin")) | Removes the edge from Dallas to Austin |
The program below creates a directed graph, adds 3 vertices, and 5 edges.
It then finds the shorted path from v3 to v1.
|
graph_directed.java |
|
import
java.util.*; |
| Output |
The program below creates a weighted undirected graph, adds 3 vertices, adds 3 edges, and sets the weights of the 3 edges. It then calculates the shortest path and length.
|
graph_weighted.java |
|
import
java.util.*; |
| Output |